yl7703永利集团各班:
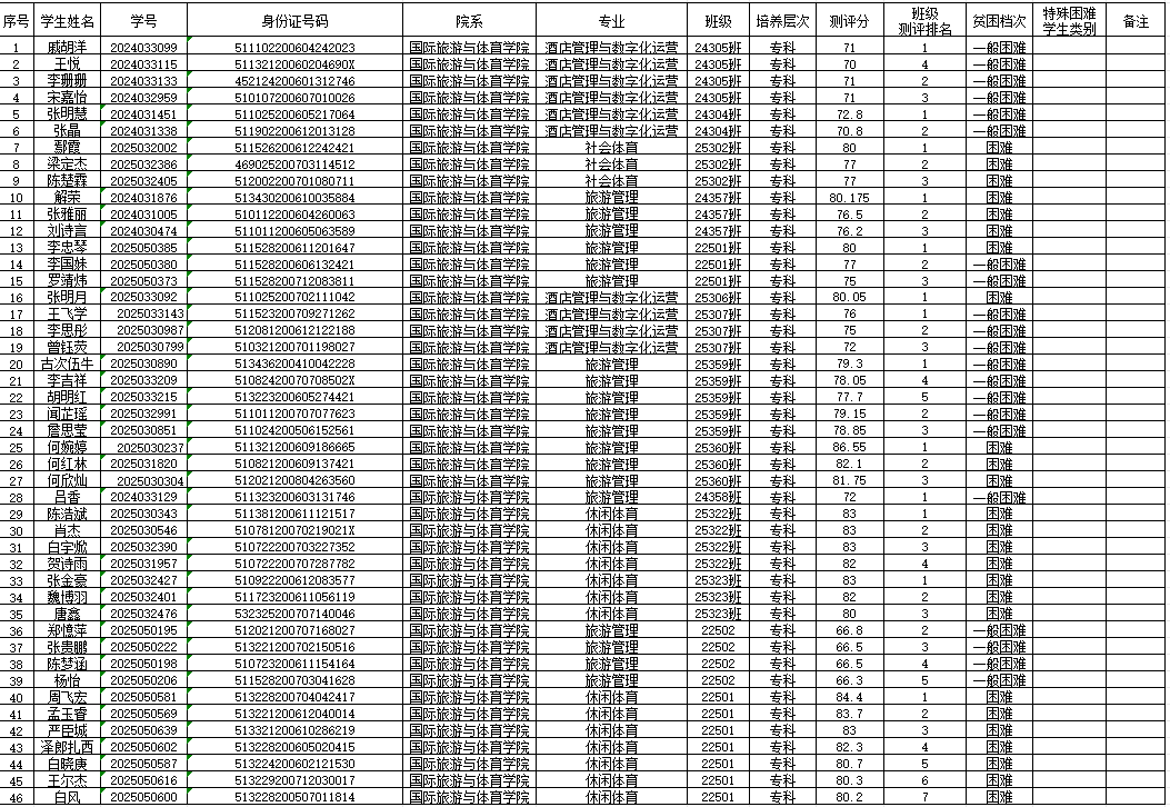
根据公司《关于做好2025-2026学年春季学期家庭经济困难员工认定工作的通知》文件精神,经个人申请,班级评议小组评定,班级公示无异议。公司认定小组认定,yl7703永利集团党政联席会于2026年3月20日审议通过,确定本次共46人被补充认定为家庭经济困难员工,其中困难25人,一般困难21人,现予以公示,名单公示详见下方附件表格。

公示时间:2026年3月23日——2026年3月25日,共3个工作日。
如对以上人选及困难档次有意见,请在2026年3月25日前以实名向yl7703永利集团周乐老师(电话 18349278365)反映情况并提供相关证明材料。